20.3 C
Changsha
2025 年 10 月 13 日 19 时 57 分 19 秒
基金财讯

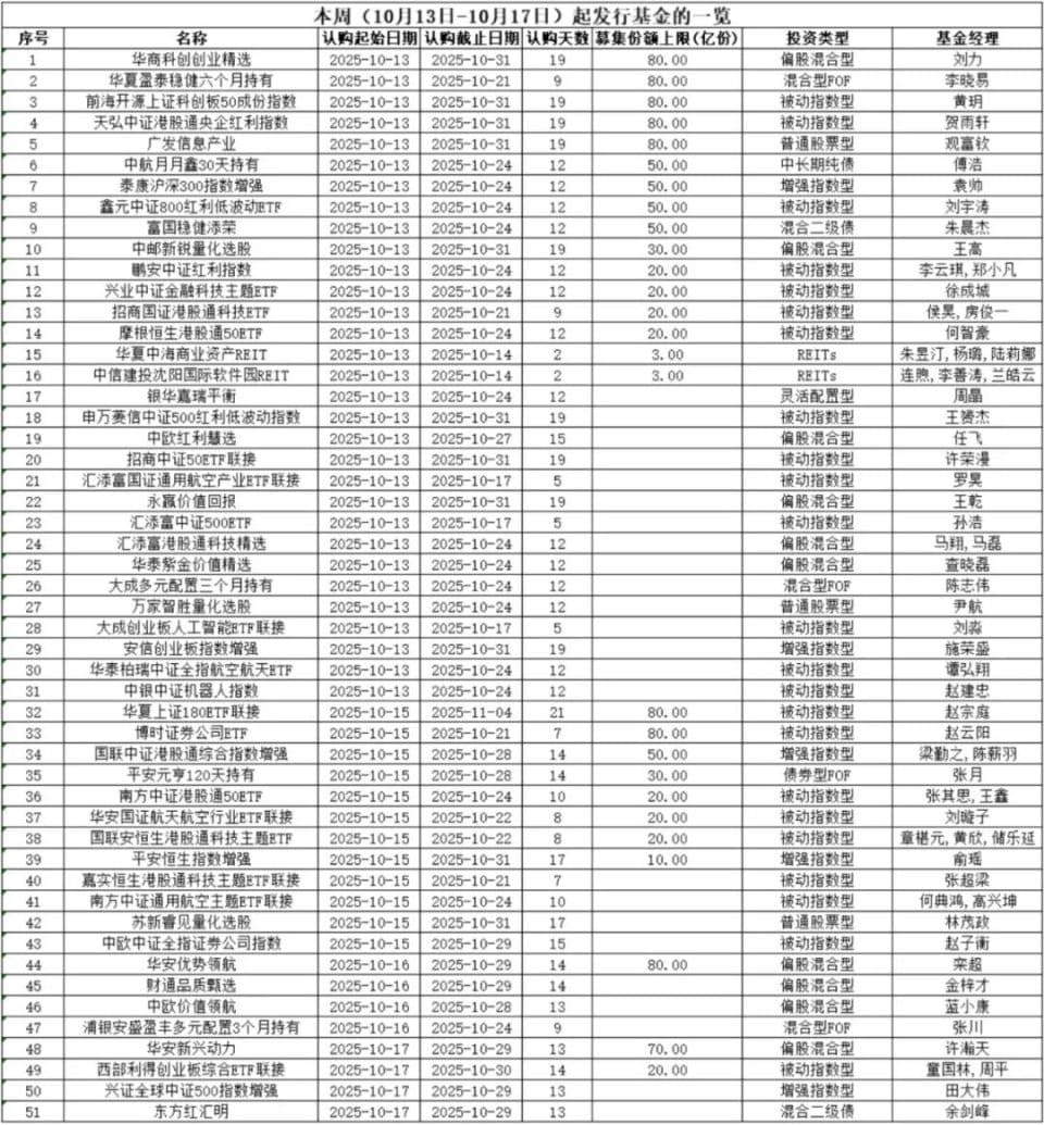
本周 51 只新基金启动募集 权益基金为绝对主力

文章来源:天天财经

  【导读】 本周 51 只新基金启动募集,权益基金为绝对主力

  中国基金报记者张燕北

  国庆长假后首个完整交易周,新基金发行热度高企。本周 (10 月 13 日—10 月 17 日)5 个交易日中,共有 51 只新基金登场,面向投资者公开发行。

  31 只扎堆在周一发行

  具体来看,周一 (10 月 13 日) 仍是新基金发行的重要一天,本周 51 只新发基金中 31 只扎堆在周一发行,占本周新基金的 60.78%;周二无新基金启动募集,周三、周四和周五分别有 12 只、4 只、4 只基金开始认购。

  从认购天数来看,本周新基金中,认购天数最长为 21 天,来自华夏上证 180ETF 联接。在其之后,招商中证 A50ETF 联接、申万菱信中证 A500 红利低波动指数、中邮新锐量化选股等 9 只新基金的计划认购天数均为 19 天,苏新睿见量化选股和平安恒生指数增强紧随其后,认购天数为 17 天。

  整体来看,51 只新基金平均认购天数为 12.59 天,较此前明显缩短。

  业内认为,这或与近期市场行情及预期表现向好有关,新基金发行回暖信号频现,例如多只权益新基金扎堆提前结束募集。

  本周新基金中,认购天数最短的是两只公募 REITs 产品 —— 中信建投沈阳国际软件园 REIT 与华夏中海商业资产 REIT,仅发售两天。另有三只基金的认购天数为 5 天,且均为被动指数型股票基金,分别是汇添富国证通用航空产业 ETF 联接、大成创业板人工智能ETF 联接、汇添富中证 500ETF。

  从募集目标来看,本周新发的 51 只基金中,有 27 只明确了募集目标。其中,8 只基金将募集目标设定为 80 亿份,涵盖 4 只被动指数型股票基金、3 只偏股混合型基金与 1 只偏债混合型 FOF;而募集目标最低的为 3 亿份,对应前述两只公募 REITs 产品。

  权益类基金为绝对主力

  从基金类型看,本周新基金中权益类基金担当 「绝对主力军」,共有 42 只基金属于此类型,占本周新基金总数的 82.35%。

  其中,指数型股票基金有 28 只,在权益基金中占 66.67%。有多只根据港股通相关指数的基金于本周新发,包括国联中证港股通综合指数增强、摩根恒生港股通 50ETF、南方中证港股通 50ETF 等。

  跟踪科创板、创业板相关指数的新发基金也比较多,既有宽基产品,如西部利得创业板综合 ETF 联接、前海开源上证科创板 50 成份指数等,也有大成创业板人工智能 ETF 联接等行业或策略主题产品。

  本周新基金中有 14 只主动权益基金,包括 11 只混合型基金和 3 只普通股票型基金。混合型基金中,仅 1 只为灵活配置型基金,其余均为股票仓位较高的偏股混合型基金。

  主动权益基金中,一方面,多只量化主题产品齐发,包括苏新睿见量化选股、万家智胜量化选股、中邮新锐量化选股等。另一方面,从投资方向看,基金公司布局类型多点开花,有广发信息产业、华安新兴动力等科技成长类产品,也有永赢价值回报、中欧价值领航、华泰紫金价值精选等偏均衡价值风格的产品,还有中欧红利慧选等红利高股息主题的产品,反映出公募基金公司的差异化布局。

  此外,本周新基金中仅有 3 只债券型基金,包括 2 只混合二级债基和 1 只中长期纯债基金。随着权益市场回暖,债券市场连续下跌,债券基金尤其纯债基金发行热度明显下降。不过,「进可攻、退可守」 的 「固收+」 基金相对而言较受关注,新发基金持续上架。

  业内人士认为,当前新基金发行市场明显好转,尤其权益类产品发行难度有所降低。展望后市,若行情持续向好,投资风险偏好将持续提升,公募发行市场也有望持续回暖。除了热度高企的指数基金外,主动权益类基金也将重回投资视野。

(文章来源:中国基金报)

(原标题:51 只新基金,来了!)

(责任编辑:43)